Tova, noen se Narica Illuminators
Lightening er en viktig egenskap, som påvirker nivået av komfort, ytelse og helse. For å organisere riktig avklaring av flokken, er det nødvendig å tydelig forstå hva som er den samme egenskapen. I artikkelen vil vi analysere hvordan lyset er og hvordan det avhenger.
inneslutning: 1. Definisjon og måleenhet 2. Hvordan kan vi beregne lysstyrken, for vi kjenner lysstrømmen 3. Omvendt firkantlov i lynnedslag
Definisjon og måleenhet
Definisjonen av avklaring er mengden lys, lik forholdet mellom det til lysstrømmen, som faller på toppen, området fra overflaten bestemmes, området til området på baksiden av regionen:


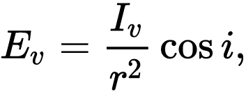
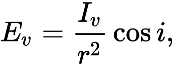
Tazi-stabilitet som viser skarpt sterkt opplyst objekt. Kostnaden måles i Lux (Lux i SI). Tova avhenger ikke bare av styrken til lysstrømmen (målt i lumen (lm)) og overflaten, toppen av fallet, men også av avstanden fra kilden til overflaten og lyset på padan på lyslinjen av lyset over den:


Kadeto:
- IV e lysintensitet per candela (1 candela = 10,7 lumen);
- r er avstanden til lyskilden;
- jeg e gult på padan på de skarpe lysstrålene.
Flere detaljer for konseptet for belysningsstyrke og neinat vrazka med andre fysiske størrelser, du kan og har tenkt å oppgi "I hvilke enheter er målingene av belysningsstyrke og lysstyrke per lys - hvordan representerer leiligheten“.
Hvordan og hvordan kan vi måle
For målinger på bekkenet brukes denne egenskapen av en spesiell enhet - luxometri. De består alle av en fotosensor og en elektronisk enhet som på en eller annen måte konverterer signalet fra sensoren til pakker, som vises på displayet.

Måling for belysning på arbeidsområdet ved hjelp av en luxmåler
Avhengig av typen avklaring (kunstig fra en eller annen type, naturlig, kombinert - naturlig + kunstig), hvilken enhet som er koblet til fotosensoren, konfigureres ønsket type.
Et eksempel på en interessant enhet for å endre parameteren for avklaring er Radex Lupin. Struva $75. Det er mange varer, men prisen er begrunnet ut fra egenskapene. Du kan måle belysningen, lysstyrken og forholdet på pulseringen. Den siste parameteren måles ikke av noen enhet. Ako tova e skopo for deg, togava du kan bruke den kinesiske luksusen, chiyato prisen på jorda er fra 15-20 dollar.
Hvordan kan du beregne dette lyset, kjenne lysstrømmen
Nesten alle kolbene, med et unntak på lampen med en brent kolbe, viser en lys strøm, noe som er bra.

Tazi LED-lampe produsert 450 lumena svetlina
Hvordan kan du finne ut hva slags lys som sendes? Teoretisk sett, hvis en lysstrøm faller på en overflate med et areal på 1 m2, er lysintensiteten fortsatt 450 lux.

Ako lyser 1 m2 med én lumen, lyser på en overflate til og med 1 lux
Men ikke alt er fornuftig rett og slett. Først skinner smulene under forskjellige vinkler. Fra tov avhenge av området for avklaring. For det andre avhenger størrelsen på lyslinjen av avstanden til overflaten og fra vinkelen på padan til lysstrålen.
Omtrent belysningsstyrken på overflaten er beregnet fra den siste begynnelsen: vi vet hvordan vi skal beregne spredningen på lampen og avstanden fra kilden til overflaten, på toppen av fallet er hele strømmen lys, estimerer arealet på lyst sted.La oss forlate det og dele stoisiteten inn i en lysstrøm i områder på en lys overflate og gjøre belysningen til en overflate, på et tidspunkt et lysfall. Åpenbart er strømmen lys på en høylytt måte, og bekken er høy på en litt lett-glatt måte, fornuftig på en høylys måte.
Nyama og davame formler - avhandlinger, som de lærte på skolen, de kan og vil beregne arealet basert på kjeglen på gjenskinnet på den, klar til å koke (gnag på spredningen på lampata) og vysochinata (avstanden fra kilde til lyset på overflaten). E, den mulige lysstrømmen er delt inn i en dorysone med tre enorianklasser.
Beregn metoden for å beregne og gi omtrentlige resultater. Ako se etter og beregne nøyaktig lysingen i en flokk, du kan ja du vil finne en statiyata "Hvordan kan vi beregne lynet i flokker“.
Omvendt firkantlov i lynnedslag
På en eller annen måte er det mer bleket i et fjell, belysningen avhenger av avstanden fra kilden til lyset. Vz er basert på formelen, som vi vil gi igjen, og avhengigheten er kvadratisk.


Likevel, noen rettssaker, men du vet mer om emnet på tazi, kanskje ja, du kan se objektet, gi det til teksten.
PredishnaKalkulator Hvordan beregne lynnedslag i flokkerNesteLighteningHvordan lette dette og hvordan det